صف العوامل المؤثرة في اللزوجة





صف العوامل المؤثرة في اللزوجة موسوعة

صف العوامل المؤثرة في اللزوجة موسوعة

صنفي المواد التالية الى ما يناسبها من المجموعات في الجدول Ppt Video Online Download

صنفي المواد التالية الى ما يناسبها من المجموعات في الجدول Ppt Video Online Download

صف العوامل المؤثرة في اللزوجة موقع المحيط

صف العوامل المؤثرة في اللزوجة موقع المحيط

صف العوامل المؤثرة في اللزوجة إجابة

صف العوامل المؤثرة في اللزوجة إجابة

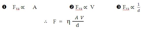
اللزوجه Viscosity بالتفصيل للصف الثاني الثانوي

اللزوجه Viscosity بالتفصيل للصف الثاني الثانوي

صف العوامل المؤثرة في اللزوجة موقع المحيط

صف العوامل المؤثرة في اللزوجة موقع المحيط

صف العوامل المؤثرة في اللزوجة موقع المحيط

صف العوامل المؤثرة في اللزوجة موقع المحيط

صف العوامل المؤثرة في اللزوجة موقع المحيط

صف العوامل المؤثرة في اللزوجة

صف العوامل المؤثرة في اللزوجة

صف العوامل المؤثرة في اللزوجة

صف العوامل المؤثرة في اللزوجة

صف العوامل المؤثرة في اللزوجة

صف العوامل المؤثرة في اللزوجة

موضوع شامل عن اللزوجة Viscosity تعرف على علم الكيمياء

موضوع شامل عن اللزوجة Viscosity تعرف على علم الكيمياء

العوامل المؤثرة على العلاقات داخل الاسرة المصدر

العوامل المؤثرة على العلاقات داخل الاسرة المصدر

من خلال إلقائك الضوء على العوامل المؤثرة التي تستمد المعلومات قيمتها منها والتي من ضمنها المصدر المصدر

من خلال إلقائك الضوء على العوامل المؤثرة التي تستمد المعلومات قيمتها منها والتي من ضمنها المصدر المصدر

طلاب الصف العاشر اليكم درس في مادة دمشق الآن التعليمية Facebook

طلاب الصف العاشر اليكم درس في مادة دمشق الآن التعليمية Facebook

اقرا القطعة اعلاه ثم حدد جوانب القصور في العوامل المؤثرة في قيمة المعلومة المصدر

اقرا القطعة اعلاه ثم حدد جوانب القصور في العوامل المؤثرة في قيمة المعلومة المصدر

صف العوامل المؤثرة في اللزوجة

صف العوامل المؤثرة في اللزوجة

اللزوجه Viscosity بالتفصيل للصف الثاني الثانوي

اللزوجه Viscosity بالتفصيل للصف الثاني الثانوي

صف ما يحدث للضغط عند زيادة القوة المؤثرة في مساحة معينة المصدر

صف ما يحدث للضغط عند زيادة القوة المؤثرة في مساحة معينة المصدر

ملخص الفصل الرابع التوصيل الحراري

ملخص الفصل الرابع التوصيل الحراري

اللزوجه Viscosity بالتفصيل للصف الثاني الثانوي

اللزوجه Viscosity بالتفصيل للصف الثاني الثانوي

Source : pinterest.com